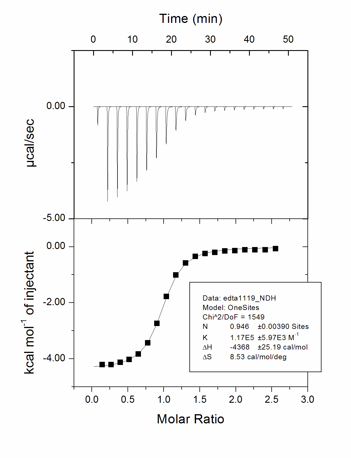
1. 等温滴定微量热仪
等温滴定微量热仪主要用于蛋白质-小分子相互作用、蛋白质-蛋白质相互作用、蛋白质- 核酸相互作用、药物发现与设计、抗生素、抗菌剂、抗真菌、抗菌药、蛋白质受体研究、酶活性研究、蛋白质工程与突变、抗体研究、疫苗与病毒研究、蛋白质与糖类相互作用、蛋白质与脂质体相互作用、蛋白质亚单元结合、解离和聚集研究、淀粉质样、阮病毒研究、核酸- 小分子相互作用、核酸- 核酸相互作用、脂质体- 小分子相互作用。
实验流程:
(1) 实验准备
1.1 仪器的清洁
操作前需要确认 iTC200 的样品池是否洁净,可以通过向样品池,参比池和滴定注射器中都加入脱气的超纯水,然后通过水滴水的实验观察噪音水平,确认是否洁净。
清洗样品池:用 Cell water rinse 命令自动清洗;如果样品池比较脏,可使用5 - 20 %的去垢剂 Contrad 70(或 Decon 90)浸泡:使用 detergent soak and rinse 命令可自动完成。
清洗滴定注射器:用syringe wash 命令自动清洗
同时清洗样品池和滴定注射器:用Cell and Syringe wash 命令
1.2 样品的准备
滴定与被滴定样品需要溶解在完全一致的缓冲液中,如果缓冲液不一致,则需通过透析或者超滤等手段进行置换,并保留透析或者超滤尾液,作为参比缓冲液。通常将大分子的蛋白作为被滴定样品,放于样品池中,通常浓度为 50 μM, 参比池中放入超纯水。将小分子或相互作用的另一方装于滴定注射器中,通常浓度为样品池中浓度的10-15 倍。
(2) 实验设计
iTC200的控制软件整合了方便的实验设计的功能。在软件的Experimental design 标签页中输入预估的相互作用的化学计量比 (N),选择相互作用体系,软件将自动估计解离平衡常数 (KD);输入反应焓变 (ΔH)后,软件就会自动给出预估的实验结果图,以及推荐使用的样品浓度。
(3) 实验过程
3.1 反应池加样
取下上样针,检查是否干净,并用缓冲液润洗。,用上样针慢慢吸取约 300 ul的样品,小心去掉针管中的气泡。将上样针垂直插入样品池,直到针头触到样品池底部。将上样针略微提起约 1mm,缓慢匀速向下推注射器活塞,直至溢出样品池金
属管口。使用上样针连续做几次小幅度的吹打,将样品池内可能存在的气泡赶出。慢慢将上样针抽出,吸走金属管口处的多余样品。
用同样的方法在参比池中加入超纯水。
3.2 滴定注射器加样
将大约 60 μl 样品加入PCR 管中,放在试管槽中,将试管盖翻开并固定在卡槽中,使用Syringe Fill 命令对滴定注射器进行加样。加样完成后,将滴定注射器放入样品池中。
3.3 设置实验参数
在Advanced Experiment design 中设置滴定参数:
Total Injections 代表滴定 的次数 ,一般至少为 15滴 ;
Cell Temperature 中输入实验温度,范围:2 - 80 ºC,常设 25 度;
Reference Power 设置系统补偿功率的大小,放热反应可以设 5 μcal/s,较大的放热反应可设为 10 μcal/s,吸热反应可设 2-3 μcal/s。对于未知样品,建议选择 5 μcal/s;
Initial Delay 是正式开始滴定前的基线运行时间,通常选择 60 秒;
在 Syringe Concentration 中填入注射器中滴定物的浓度;
在 Cell Concentration 中填写样品池中被滴定物的浓度;
Stirring Speed 指搅拌的转速,大部分iTC 实验请设为 1000 RPM;
在 Data File Name 中输入本次实验数据保存的文件名,后缀为.iTC文件名长度不要超过 16 个字符;
在 Feedback Mode 中选择功率反馈的模式,通常只选择 High 模式;在Injection Parameter 部分设置每 1次滴定的参数。Volume 代表每次滴定样品的 体积,常为 2 到 3 μl。Duration 是指注射的时间,默认值为体积数的 2 倍。Spacing 代表两次滴定间的间隔时间。Filter Period 指的是数据采集的频率,推荐设为 5 秒钟。
Setup 窗口中设置数据保存的文件路径;
Cell boot Temp 中设置系统的起始温 度;
使用同样的设置,用同样的样品滴定缓冲液用作空白对照。
(4) 清洁维护
当实验结束后,需要对 iTC200进行清洗。用上样针移出样品池中的样品或者缓冲液。按照前述方法清洗样品池和滴定注射器。清洗结束后在样品池中注入超纯水保存,并每周更换。

2.圆二色光谱仪
圆二色光谱仪能够进行圆二色性、吸收、荧光等多种光学性质的检测,能够对生物大分子、有机小分子的分子构象进行表征、能够对分子的构象变化和分子间的相互作用进行检测。检测功能:能够进行圆二色光谱,紫外吸收光谱,荧光圆二色谱的检测;能够实现圆二色、吸收等光学属性的停流检测,用于研究快速反应动力学过程,获得短时间存在的反应中间体的相关信息。
实验流程:
1. 开通氮气
打开氮气压力阀,检查氮气钢瓶及氮气压力表是否正常,把氮气的输出压力设定在0.4Mp。检查气体流量计,推荐从左至右的三路氮气流量分别为1/3/1 L/min。
注意:通氮气约20分钟后,才能点亮氙灯光源
说明:长时间(1个月以上)未启用仪器,需使仪器通氮气的1小时以上,最好适当增大流量
2. 开启电源(等待通氮气时间中可完成)
2.1 按Lamp开关接通氙灯的电源,黑色按钮
2.2 按System开关,仪器自检后Status指示灯渐渐变为稳定的绿色,Rx Tx红色指示灯正常闪亮
2.3 开启电脑,选择用户(Chirascan User)至桌面
2.4 点击Chirascan软件到Pro Data Chirascan主界面
说明:实验中如需用到硬件如变温控制器,滴定仪或混合装置都须在软件之前通电连接
2.5 点击图标
快捷键,开启Pro Data界面
2.6 设定文件名、工作文件夹及当前工作目录:
点击New Folder
新建的文件夹并命名(英文或数字),并设其为当前工作目录(点击
);
3. 点亮氙灯 快速按一下Lamp的红色按钮,氙灯约15分钟预热后达到稳定状态,过程中其能量会有所增加
4. 设置测试条件参数
依据测试项目设置测试信号(CD,Absorbance紫外吸收,Fluorescence荧光)。默认CD测试时下方同时激活Absorbance;设定带宽Bandwidth,通常设置为0.5nm或1.0nm,氙灯经长时间使用后能量状态可能衰减,这时需要采用更大的带宽,点set确认,选择光谱的测试范围(蛋白样品如180-260nm)及步进 如(0.5nm,1nm等),点set确认,设置数据采样方式Sampling,默认设置Time-per-point为0.5s,设置时间越长,数据信噪比越好,曲线越平滑,但是整个扫描时间会增长,右侧显示预估的扫描测试时间,设置采集模式如Spectrum光谱,Kinetics动力学等。
5. 实验测试步骤
5.1 测试仪器背景,记录吸收零值
样品池中不放任何物体,直接采集空气(氮气)的值,点击Background
5.2 测试背景,样品以外的所有体系
命名界面在Spectrum下命名文件,如Buffer
选择合适的比色皿,放入与样品内一致的Buffer,按照一定的方式和方向放入Cell Holder,点击Acquire
5.3 测试样品
命名界面在Spectrum下命名文件,如Sample,使用上步测试的同一个比色皿,入要测试的样品(需保持浓度准确),按照测试Buffer时同样的方式和方向,放入Cell Holder,点击Acquire。
5.4 重复测试
测试过程中想要把类似实验或前面的重复实验进行比对,只需把相应的文件用鼠标拖到采集数据的显示框中即可复制实验参数
6. 数据处理
将所有要处理的数据都拖入同一数据界面,键盘按D可弹出处理界面
6.1 多次重复数据的求平均Average
首先平均背景数据,Buffer的3次测试数据,全部选中后点Average,得到Average:0文件;再平均样品数据,Sample的3次测试图谱,全部选中点Average,得到Average:1文件
6.2 背景消除 Subtract Baseline
选中背景文件,如上步平均后的背景数据Average:0,点击Set Baseline;再选中样品数据,Average:1,点Subtract Baseline得到Subtracted:0文件。
解除背景设定Unset Baseline,选中扣除背景后的样品文件Subtracted:0文件,点击Remove Others。
6.3 平滑处理Smooth
选中要平滑处理的文件,如Subtracted:0,点击Smooth,进入Smooth界面,左上角的Window选择平滑次数,如4:要满足数据曲线不失真,噪音水平在零值附近上下平衡,点OK,得到平滑后的文件Smooth(s):0和平滑噪音文件Smooth(r):0
6.4 曲线拟合Fit
Kinetics动力学测试数据可以在此拟合,选中数据点Fit,弹出界面,选择方程然后拟合即可
7. 数据文件保存
测试时原始数据文件都已经保存,但是处理后的数据需要再次保存。
点击File选择Save as 保存为不同文件类型或格式的文件,便于以后的调用或引用。
8. 数据输出
测试数据可以输出为各种格式,如ASCII,EXCEL,TXT等。点击桌面的 Apl data converter图标,设置需要转换成为的格式,再将某一个或某一组要处理的文件拖入软件界面,软件会自行转换
9. 关机
实验结束,应严格清洗比色皿,依据样品性质用buffer,水,乙醇,甲醇以及稀酸(2M 硝酸)或浓硝酸清洗,最好用专门的复合表面活性剂在50-60度环境中浸泡清洗,如Hellma NEXIII或Decon 90 等,最后用水或甲醇清洗。
关机顺序是:
先关闭软件,再依次关闭灯的电源(Lamp),电子控制系统(System),水浴,电子控温器,滴定装置等电源。
关闭灯的电源后需要继续通氮气约10分钟,等灯冷却后,再关闭氮气的总阀门。
